在空间引力波探测中,级联积分梳状(CIC)抗混叠滤波器总 是被用于相位计的抗混叠降采样。然而,CIC 滤波器的通带并不 平坦,这意味着不同频率下的衰减不同。因此,在需要对相位真 值高精度测量的领域,如差分波前传感(DWS),传统的降采样方 法并不适用。近日,力学所研究团队采用一种基于 CIC 插值二阶 多项式(ISOP)架构的滤波器,用于补偿衰减效应。相关研究成 果以“Optimization Design of Decimation Filter for the Phasemeter in the Space Gravitational Wave Detection” 为题,发表在 IEEE Transactions on Instrumentation and Measurement。
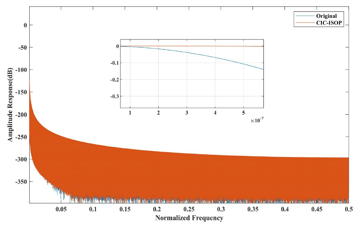
空间引力波探测主要关注在 0.1mHz-1Hz 的频段内引力波,要 求距离测量达到 1 pm/Hz1/2,对应的相位噪声水平为 2π μrad/Hz1/2。 目前国内外相位计的研究,噪声水平均能达到 2π μrad/Hz1/2。但在 空间引力波探测的角度传感中不仅对噪声水平提出了需求,同时 对角度的绝对精度提出了严格限制。系统测角精度需达到 10nrad, 相对应的相位计抗混叠滤波器在 0.1mHz~1Hz 内的最大衰减需小 于 8.7×10-4 dB。而现有相位计系统在对应频段内的最大衰减达 到了 0.1072dB,约有 3 个量级的差距,无法满足引力波探测需 求。团队提出了 CIC-ISOP 的抽取滤波方案,使相位计在0.1mHz~1Hz 内的最大衰减有了大幅度改善,满足引力波探测 8.7×10-4 dB 的需求。 力学所联合培养博士生杨润为论文第一作者,刘河山副研究 员为论文通讯作者。研究获得了科技部重点研发计划青年科学家 项目(2023YFC2206200)的资助。

图 1 CIC-ISOP 和原抽取方案的通带衰减

图 2 改进前后的相位计绝对精度测量结果
文章链接:https://doi.org/10.1109/TIM.2024.3453345